水中浸物家庭作业(五)
[数学] 五年级 · 全册
04-16 12:04 0 免费
C26启智思维每日一练(六高思1班)12
[数学] 二年级 · 全册
04-02 15:22 0 免费
C启智思维每日一练(四励2)-3
[数学] 六年级 · 全册
03-18 16:01 4 免费
六励练习册高频考题应用题(一)
[数学] 六年级 · 全册
03-13 11:06 24 免费
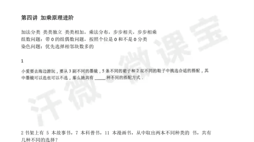
四年级复习资料-加乘原理
[数学] 五年级 · 全册
01-07 21:34 0 免费
YZCS试卷
[数学] 五年级 · 全册
01-04 23:05 0 免费
YZCS试卷
[数学] 五年级 · 全册
01-04 23:04 0 免费
YZCS试卷
[数学] 五年级 · 全册
01-04 23:04 0 免费
XQ六辰2启智思维每日一练,37
[数学] 六年级 · 全册
12-16 18:08 16 免费