单
[数学] 高二 · 上册
01-19 08:06
2
免费
高二数列求通项例题5 构造数列 一阶特征根方程
[数学] 高二 · 上册
01-15 17:54
10
免费
高二数列求通项例题4 构造数列 相邻两项
[数学] 高二 · 上册
01-15 17:14
4
免费
高二数列求通项例题3 an和Sn关系
[数学] 高二 · 上册
01-15 16:43
4
免费
高二数列求通项例题2 隔项成等差等比
[数学] 高二 · 上册
01-15 10:52
8
免费
高二数列求通项例题1 累加法 累乘法
[数学] 高二 · 上册
01-15 09:58
8
免费
高二数列知识点 数列求和方法2 裂项相消
[数学] 高二 · 上册
01-10 19:09
18
免费
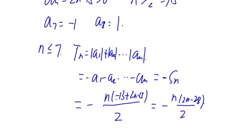
高二数列知识点 数列求和方法1 分组 绝对值 错位相减 讨论奇偶
[数学] 高二 · 上册
01-10 18:41
13
免费
高二数列知识点 求数列通项方法2 构造数列
[数学] 高二 · 上册
01-10 18:06
13
免费