在这里,你可以感受学习的乐趣,在这里,你可以和名师一起互动、交流,共同进步!
027-87870218
登录
注册
首 页
翻转资讯
微课学习
导学资源
在线练习
翻转论坛
黄老师的空间
TA的空间
TA的微课
TA的文章
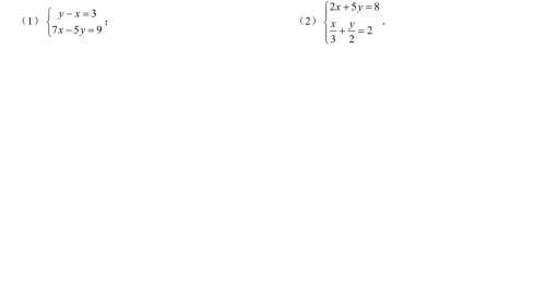
Day8第15题
Day8第15题
点赞(0)
收藏(0)
用户评论
评分
登陆后评论
黄老师
来自:
均衡学院
推荐相关微课
无
推荐相关资源
无
首页
|
关于微课之家
|
关于我们
|
联系我们
©2014-2015 All rights reserved.
鄂ICP备14002867号-2